Ответы
Ответ дал:
0
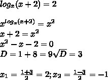
Вот) Я уже решал такое) Надеюсь помог)
Приложения:

Вас заинтересует
2 года назад
2 года назад
3 года назад
3 года назад
9 лет назад
9 лет назад
9 лет назад
9 лет назад