Ответы
Ответ дал:
0
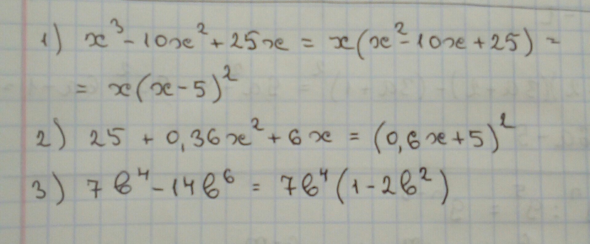
x(x²-10x+25)= x*(x-5)*(x-5)
0,36x²+6x+25= (0,6x+5)²= (0,6x+5)*(0,6x+5)
7b^4(1-2b²)= 7b^4*(1-b√2)*(1+b√2)
Ответ дал:
0
фоточка тебе в помощь
Приложения:

Вас заинтересует
2 года назад
3 года назад
9 лет назад
9 лет назад
9 лет назад