• Предмет: Алгебра
  • Автор: nepoperechny4
  • Вопрос задан 8 лет назад

помогите срочно пожалуйста! первые и второй номера

Приложения:

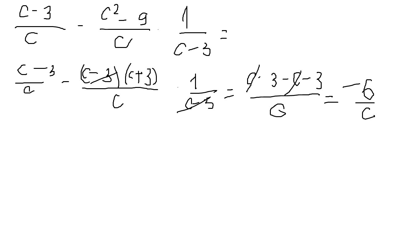
Ответы

Ответ дал: astra1919
0

ответы  смотрите   в   приложенных  файлах

Приложения:
Ответ дал: nepoperechny4
0
а с 3,4,5 поможешь?
Ответ дал: astra1919
0
в вашем вопросе только звучит 1 и 2
Вас заинтересует