Как зависит линейная скорость точек вращающегося колеса от радиуса?
1. Не меняется
2. Уменьшается при увеличении радиуса
3. Увеличивается при увеличении радиуса
Ответы
Ответ дал:
0
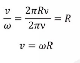
Исходя из приложенной формулы , чем больше радиус , тем больше скорость
Приложения:

Вас заинтересует
2 года назад
2 года назад
3 года назад
3 года назад
9 лет назад
9 лет назад