• Предмет: Алгебра
  • Автор: Ackerman12
  • Вопрос задан 8 лет назад

Помогите с 3.12 и 3.14. Пожалуйста.

Приложения:

Ответы

Ответ дал: diasash
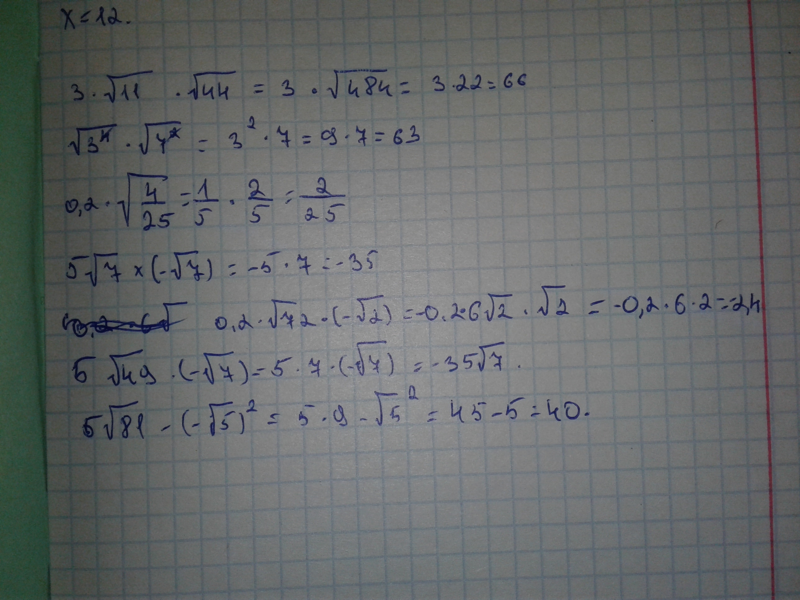
0

Кароче ворде так,если нет,то я не знаю

Приложения:
Вас заинтересует