• Предмет: Алгебра
  • Автор: fuxirelal
  • Вопрос задан 8 лет назад

Решите плиз а то я что-то туплю)

Приложения:

Ответы

Ответ дал: Аноним
0
воооооот было немного сложно
Приложения:
Ответ дал: aidanashanaxaeva
0

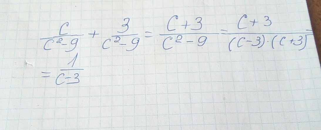
Ответ: 1/с-3 Используя формула  a2-b2= (a-b) (a+b)

Приложения:
Вас заинтересует