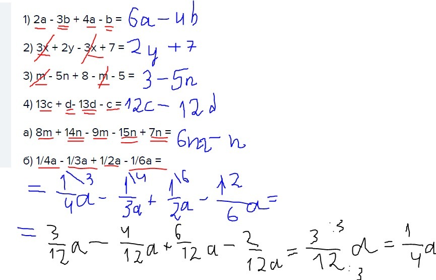
Приведите подобные слагаемые:
1) 2а - 3b + 4a - b =
2) 3x + 2y - 3x + 7 =
3) m - 5n + 8 - m - 5 =
4) 13c + d- 13d - c =
a) 8m + 14n - 9m - 15n + 7n =
б) 1/4а - 1/3а + 1/2а - 1/6а =
Ответы
Ответ дал:
0
Вот решение, удачного дня)
Приложения:

Ответ дал:
0
Благодарю, и вам.
Ответ дал:
0
1) 6a-4b
2) 2y+7
3)-5n+3
4)12c-12d
5)-m+6n
6)...
2) 2y+7
3)-5n+3
4)12c-12d
5)-m+6n
6)...
Приложения:

Вас заинтересует
2 года назад
2 года назад
3 года назад
3 года назад
9 лет назад