Как решить квадратный трехчлен?:
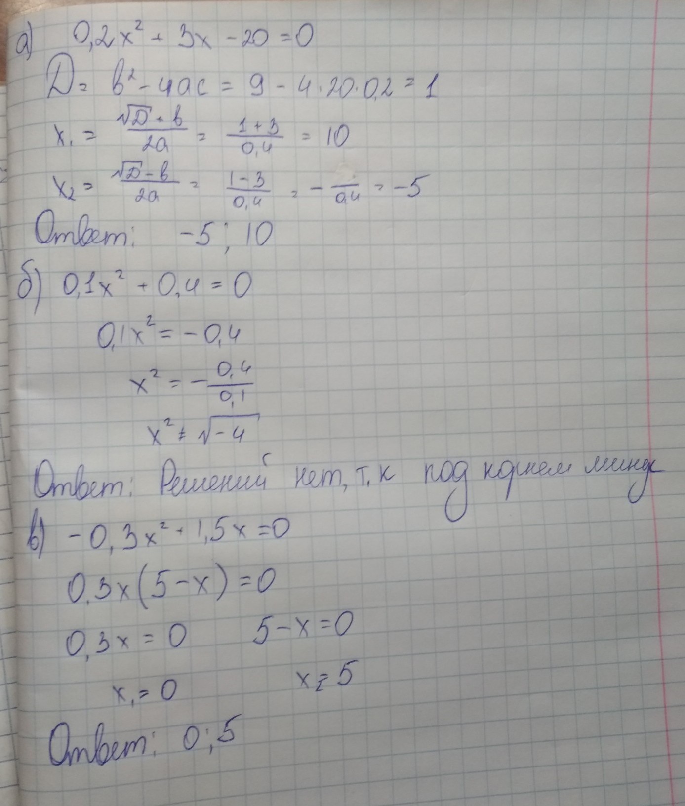
а) 0.2*x2+3*x-20
б) 0.1*x2+0.4(тут почему то так задано в книге, c- отсутствует)
в) -0.3*x2+1.5*x
Ответы
Ответ дал:
0
1. Найти область определения функции двух переменных. Изобразить ее на координатной плоскости и заштриховать.
2. Проверить, удовлетворяет ли функция двух переменных указанному дифференциальному уравнению.
1. `z=ln(x*(y-1))`
2. `z=(ln(x-y))/x, d/(dx) [x^2*(dz)/(dx)] = x^2*(d^2 z)/(dy^2)`
2. Проверить, удовлетворяет ли функция двух переменных указанному дифференциальному уравнению.
1. `z=ln(x*(y-1))`
2. `z=(ln(x-y))/x, d/(dx) [x^2*(dz)/(dx)] = x^2*(d^2 z)/(dy^2)`
Ответ дал:
0
В б у меня сомнения, так как получился минус. Если в учебнике записано именно так, то тогда всё правильно
Приложения:

Ответ дал:
0
Бабы, хоть я и 10классница с красным аттестатом за 9 классов, все равно есть сомнения
Ответ дал:
0
ого я только в 7 классе
Ответ дал:
0
Ну удачки тебе в учёбе, солнышко
Ответ дал:
0
спасибо
Ответ дал:
0
тебе тоже
Вас заинтересует
2 года назад
2 года назад
3 года назад
9 лет назад
9 лет назад
9 лет назад