Ответы
Ответ дал:
0
I hope this helps you
Приложения:

Ответ дал:
0
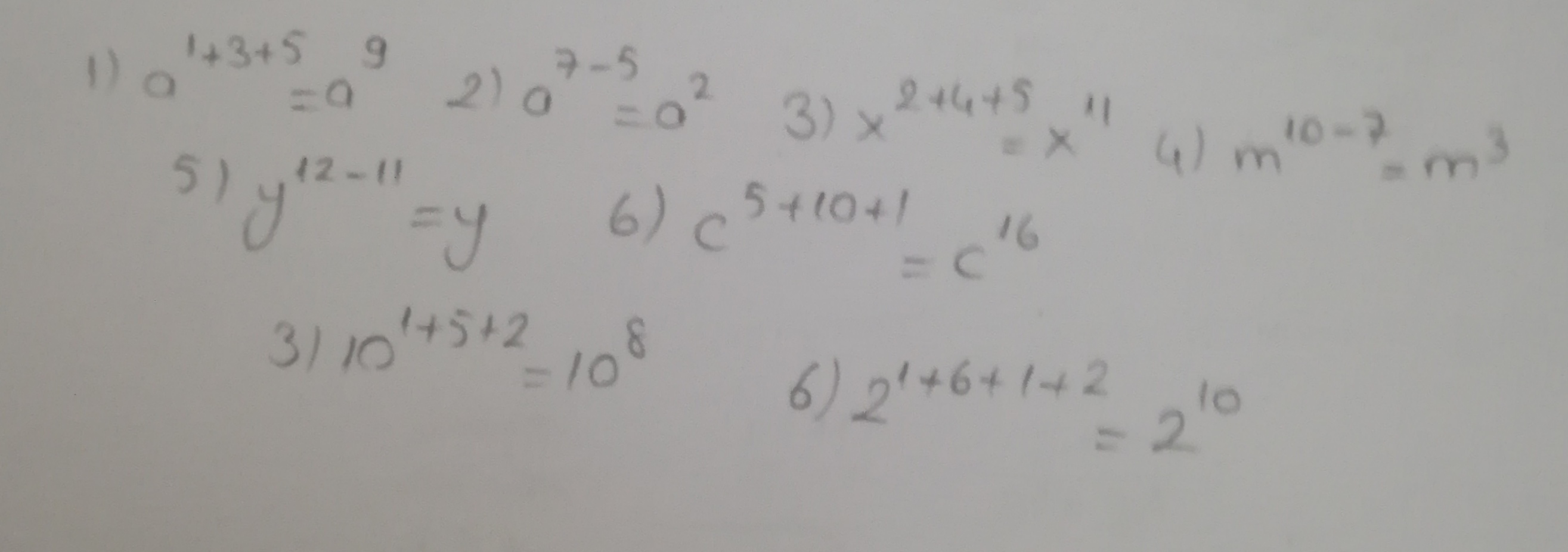
При умножении мы складываем показатель степени, при делении вычитаем показатель. То есть всё просто:
a*a^3*a^5 = 1+3+5 = a^9
a^7:a^5 = 7-5 = a^2
x^2*x^4*x^5 = 2+4+5 = x^11
m^10:m^7 = 10-7 = m^3
y^12:y^11 = 12-11 = y - если показатель степени равен 1, то его не пишут.
c^5*c^10*c = 5+10+1 = c^16
Надеюсь, доходчиво объяснил. Только если основание будет разным, например a*x*z не стоит пользоваться этим способом, там совсем другой подход
Приложения:

Вас заинтересует
2 года назад
2 года назад
3 года назад
3 года назад
9 лет назад
9 лет назад
9 лет назад