Ответы
Ответ дал:
0
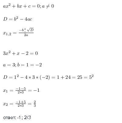
ответ: -1 ; 2/3
Приложения:

Вас заинтересует
3 года назад
9 лет назад
9 лет назад
9 лет назад
9 лет назад