Ответы
Ответ дал:
0
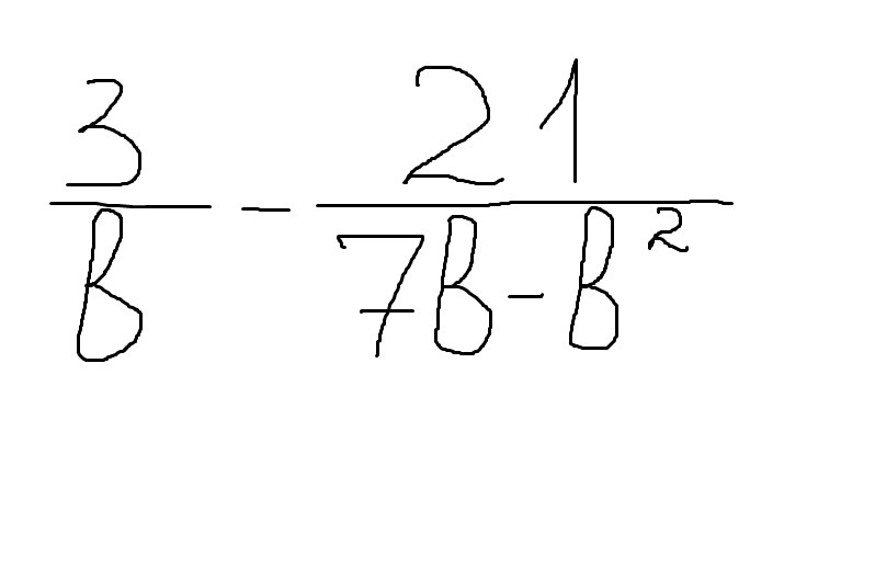
вот прошу пожалуйста
Приложения:

Ответ дал:
0
Приложения:

Вас заинтересует
2 года назад
2 года назад
9 лет назад