• Предмет: Математика
  • Автор: chmobolotnoe
  • Вопрос задан 8 лет назад

срочно помогите решить, пожалуйста

Приложения:

Ответы

Ответ дал: spasibo3pajbrh
0

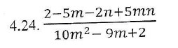
 frac{2 - 5m - 2n + 5mn}{10 {m}^{2} - 9m + 2 }  =   \  = frac{  2(1  -  n) - 5m(1 - n)}{10( {m}^{2}  - 0.9m + 0.2)}  =  \  =  frac{(n - 1)(5m - 2)}{10(m - 0.4)(m - 0.5)}  = \  =   frac{5(n - 1)(m - 0.4)}{10(m - 0.4)(m - 0.5)}  = \  =   frac{n - 1}{2m - 1}
Вас заинтересует