• Предмет: Математика
  • Автор: chmobolotnoe
  • Вопрос задан 8 лет назад

помогите решить, пожалуйста

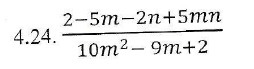
Приложения:

Ответы

Ответ дал: isom
0

2-5m-2n+5mn / 10m²-9m+2 = (2(1-n)-5m(1-n)) / ((5m+2)(2m+1)) = ((2-5m)(1-n)) / ((5m+2)(2m+1)) = (-(5m+2)(n-1)) / ((5m+2)(2m+1)) = - (n-1) / (2m+1)

Вас заинтересует