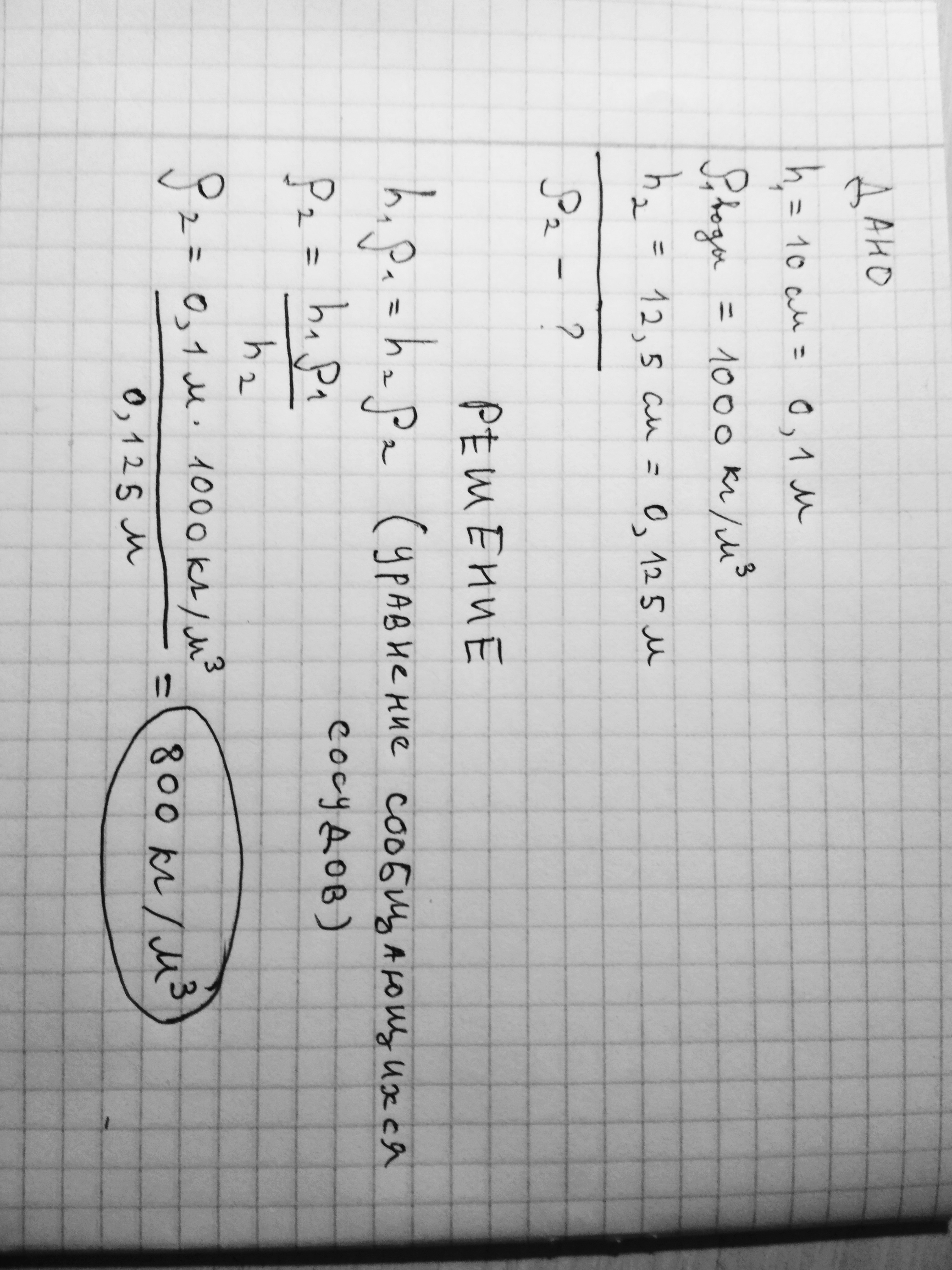
В сообщающихся сосудах налиты две разные жидкости : вода и неизвестная жидкость. Высота столбика воды равна 10 см, а высота столбика неизвестной жидкости - 12,5 см. Найти плотность неизвестной жидкости.( Плотность воды 1000кг/м3)
Ответы
Ответ дал:
0
Данное решение Смотри на фото. Ответ: 800 кг/м³
Приложения:

Вас заинтересует
2 года назад
2 года назад
3 года назад
3 года назад
9 лет назад