• Предмет: Математика
  • Автор: ALMeNo
  • Вопрос задан 8 лет назад

Помогите,пж,решить задание на фото.

Приложения:

Ответы

Ответ дал: DirtyToha
0

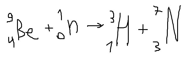
Думаю так. Азот N. Вверху 7, внизу 3.

Приложения:
Вас заинтересует