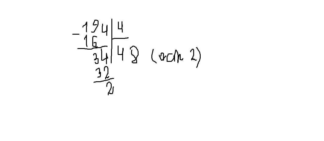
194 :4 в столбик помогите пожалуйста
PetrKalash:
Отметил меня,как нарушение,а сам,вместо математики,указал русский.Справедливо...
Ответы
Ответ дал:
2
Вот тебе столбик.
А вообще,-если совсем туго-калькулятор в помощь.Не стесняйся им пользоваться.
Если будут вопросы-пиши мне.
Приложения:

Ответ дал:
2
https://ru-static.z-dn.net/files/d09/1f701f74603409b63d1b6ec93a55d567.png
Приложения:

Вас заинтересует
1 год назад
2 года назад
3 года назад
8 лет назад