• Предмет: Алгебра
  • Автор: babenkoaleksej013
  • Вопрос задан 8 лет назад

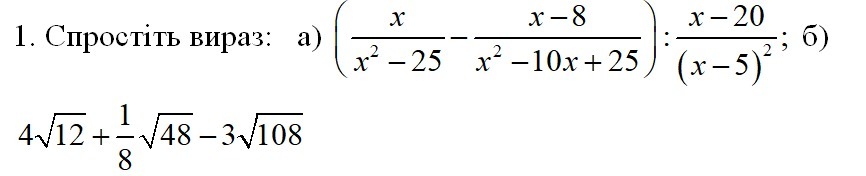
Сделайте пжжжжж вариант а и б

Приложения:

Ответы

Ответ дал: iraemc2211
0

Могу помочь с первым, но не уверена в правильности

Приложения:
Ответ дал: babenkoaleksej013
0
А б)
Ответ дал: babenkoaleksej013
0
??????????
Ответ дал: babenkoaleksej013
0
Спасибо и на этом !)
Ответ дал: Аноним
0

Вариант А:

1) раскладываем на множители выражение: (frac{x}{(x-5)*(x+5)}-frac{x-8}{(x-5)^{2}})*frac{(x-5)^{2}}{x-20}

2) записываем все числители над наименьшим общим знаменателем: frac{x*(x-5)-(x+5)*(x-8)}{(x+5)*(x-5)^{2}}*frac{(x-5)^{2}}{x-20}

3) раскрываем модули и сокращаем дроби: frac{x^{2}-5x-(x^{2}-8x+5x-40)}{(x+5)*(x-5)*(x-5)}*frac{(x-5)^{2}}{x-20}

4) приводим подобные члены и сокращаем дробь: frac{x^{2}-5x-(x^{2}-3x-40)}{(x+5)*(x-5)}*frac{x-5}{x-20}

5) раскрываем скобки и сокращаем дроби: frac{x^{2}-5x-x^{2}+3x+40}{x+5}*frac{1}{x-20}

6) сокращаем противоположные выражения и приводим подобные члены: frac{-2x+40}{x+5}*frac{1}{x-20}

7) раскладываем выражение на множители: frac{-2(x-20)}{x+5}*frac{1}{x-20}

8) сокращаем числитель и знаменатель дроби: frac{-2}{x+5}

9) выносим знак перед дробью: -frac{2}{x+5}

ОТВЕТ: -frac{2}{x+5}

Вариант Б:

1) упрощаем все корни: 8sqrt{3}+frac{sqrt{3} }{2}-18sqrt{3}

2) проводим вычисления: 8sqrt{3}+frac{sqrt{3} }{2}-18sqrt{3}=-frac{19sqrt{3} }{2}

ОТВЕТ: -frac{19sqrt{3} }{2}

Приложения:
Ответ дал: babenkoaleksej013
0
Спасибо больщое!!!!!!!!!!!!!!!!!!
Вас заинтересует