• Предмет: Алгебра
  • Автор: babenkoaleksej013
  • Вопрос задан 8 лет назад

помогите пжжжжжжжжжжжжжжж!!!!!!!!!!!!!!!!!!!!!!!!!!!!!!!!!!!!!!!!!!!

Приложения:

Ответы

Ответ дал: Аноним
0

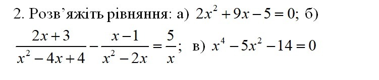
Вариант А:

1) записываем в виде разности: 2x^{2}+10x-x-5=0

2) выносим общий множитель и знак минус за скобки: 2x*(x+5)-(x+5)=0

3) раскладываем выражение на множители: (x+5)*(2x-1)=0

4) рассматриваем все возможные случаи: если произведение равно 0, то как минимум один из множителей равен 0: x+5=0;     2x-1=0

5) решаем уравнение: x=-5; x=frac{1}{2}

ОТВЕТ: x_{1}=-5,x_{2}=frac{1}{2}

Вариант Б:

1) находим область допустимых значений: xneq2, xneq0

2) переносим слагаемое в левую часть равенства: frac{2x+3}{x^{2}-4x+4}-frac{x-1}{x^{2}-2x}-frac{5}{x}=0

3) раскладываем выражение на множители: frac{2x+3}{(x-2)^{2}}-frac{x-1}{x*(x-2)}-frac{5}{x}=0

4) записываем все числители над наименьшим общим знаменателем: frac{x*(2x+3)-(x-2)*(x-1)-5(x-2)^{2}}{x*(x-2)^{2}}=0

5) раскрываем модуль и раскладываем: frac{2x^{2}+3x-(x^{2}-x-2x+2)-5(x^{2}-4x+4)}{x*(x-2)^{2}}

6) приводим подобные члены и раскрываем скобки: frac{2x^{2}+3x-(x^{2}-3x+2)-5x^{2}+20x-20}{x*(x-2)^{2}}=0

7) раскрываем скобки: frac{2x^{2}+3x-x^{2}+3x-2-5x^{2}+20x-20}{x*(x-2)^{2}}=0

8) приводим подобные члены: frac{x^{2}+6x-2-5x^{2}+20x-20}{x*(x-2)^{2}}=0

9) приводим подобные члены и вычисляем разность: frac{-4x^{2}+26x-22}{x*(x-2)^{2}}=0

10) приравняем числитель к 0: -4x^{2}+26x-22=0

11) делим обе стороны уравнения на -2: 2x^{2}-13x+11=0

12) решаем квадратное уравнение: x=frac{-(-13)+-sqrt{(-13)^{2}-4*2*11} }{2*2}

13) раскрываем скобки и вычисляем: x=frac{13+-sqrt{169-88} }{4}

14) вычитаем числа: x=frac{13+-sqrt{81} }{4}

15) вычисляем квадратный корень: x=frac{13+-9}{4}

16) отделяем решения: x=frac{13+9}{4};x=frac{13-9}{4}

17) упрощаем выражение: x=frac{11}{2};x=1

ОТВЕТ: x=frac{11}{2};x=1

Вариант В:

1) решаем уравнение методом замены переменной: t^{2}-5t-14=0

2) решаем уравнение относительно t: t=7;t=-2

3) выполняем обратную замену, подставив значения: x^{2}=7;x^{2}=-2

4) решаем уравнения: x=sqrt{7};x=sqrt{7}

ОТВЕТ: x_{1}=sqrt{7};x_{2}=sqrt{7}

Вас заинтересует