Ответы
Ответ дал:
0
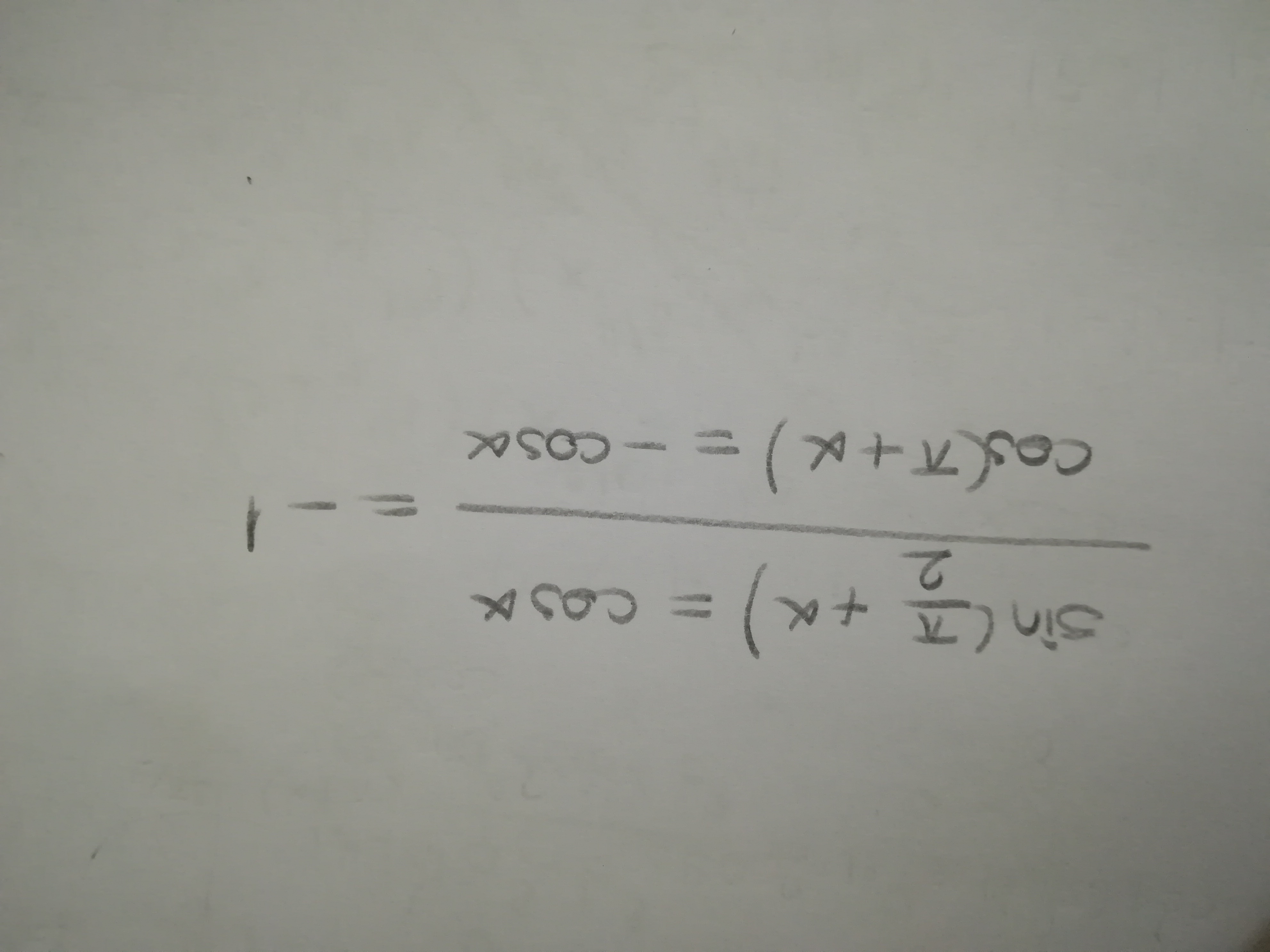
I hope this helps you
Приложения:

Ответ дал:
0
what?
Ответ дал:
0
a in second area hence cos a>0
Ответ дал:
0
i don't understand you but i saw my mistake
Ответ дал:
0
I'm glad
Ответ дал:
0
me to thanks :)
Вас заинтересует
2 года назад
2 года назад
3 года назад
3 года назад
9 лет назад
9 лет назад