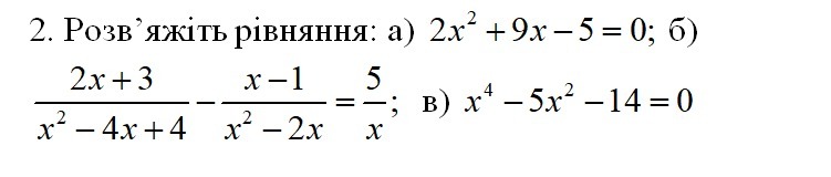
Сделайте пжжжжжжжж.Даю мноо балов)Срочно!!!!!!!!!!!!!!!!!!!!Решите уравнения!!!!!!111
Приложения:

Ответы
Ответ дал:
0
в)
Замена:




Обратная замена:



Не удовлетворяет ОДЗ
Ответ:
Замена:
Обратная замена:
Не удовлетворяет ОДЗ
Ответ:
Приложения:

Ответ дал:
0
Спасибо!!!!!!
Вас заинтересует
2 года назад
3 года назад
3 года назад
9 лет назад
9 лет назад
9 лет назад