• Предмет: Математика
  • Автор: zarinakot89
  • Вопрос задан 8 лет назад

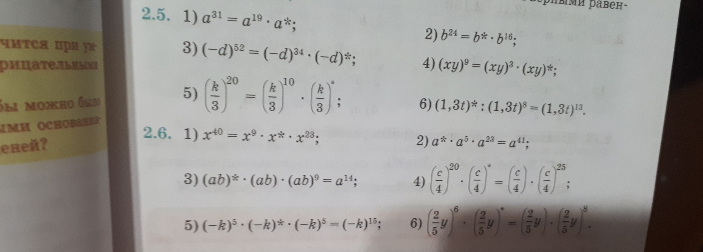
номер 2.5 и 2.6 помогите пожалуйста

Приложения:

Ответы

Ответ дал: mcnxdn
0
В 2.6 задании в 3 не внимательно посмотрела и там ответ 5 , а снизу сфоткала формулы запиши куда нибудь тли запомни
Приложения:
Вас заинтересует