Помогите с 1 заданием, 8-ого варианта, не знаю как сделать.
Задание:
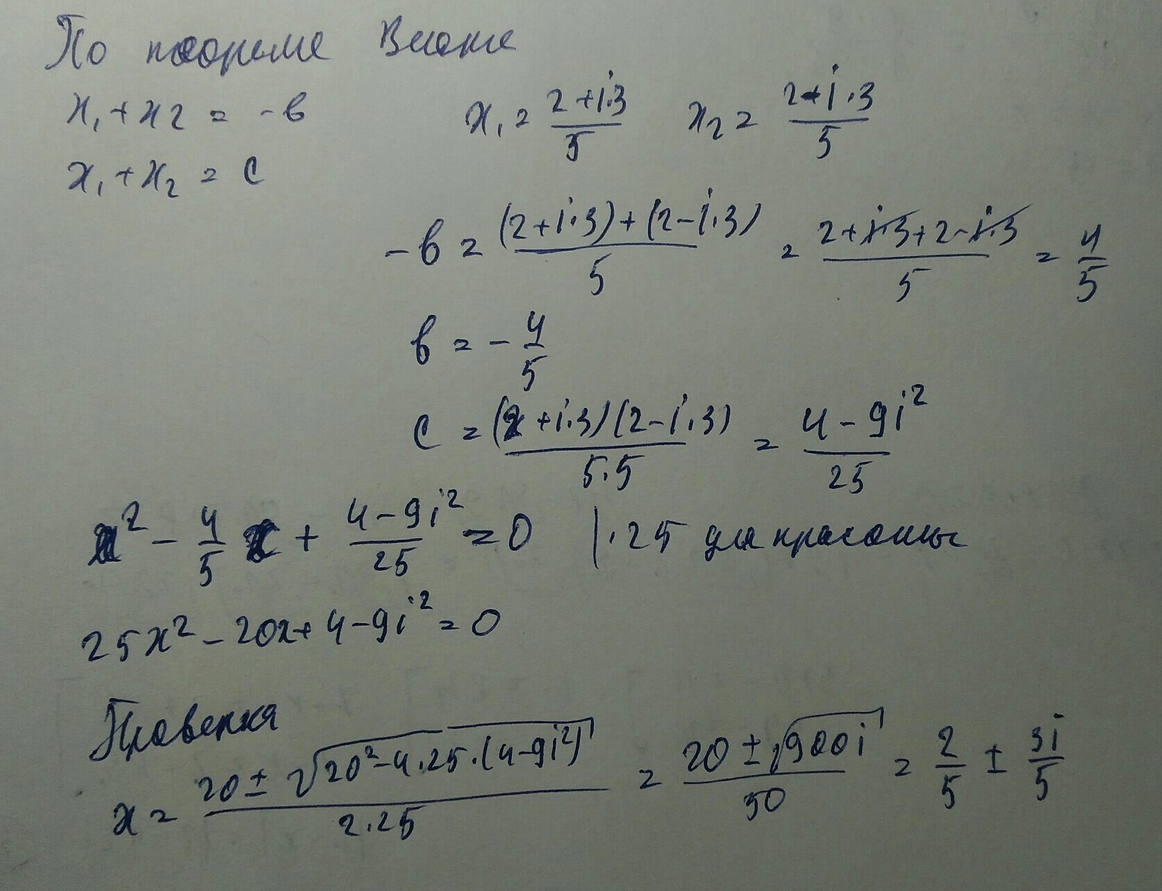
Составить квадратное уравнение по его корням
х1= 1/5(2-3*i);
x2=1/5(2+3*i);
Приложения:

Ответы
Ответ дал:
0
20 символов, чтобы система приняла решение)
Приложения:

Ответ дал:
0
большое спасибо)
Ответ дал:
0
я надеюсь, что ты в моем почерке разобрался)
Ответ дал:
0
да
Ответ дал:
0
а как тут баллы давать?
Ответ дал:
0
никак. ты, когда создаешь задание, пишешь, сколько баллов получит выполнивший задание человек
Вас заинтересует
2 года назад
3 года назад
3 года назад
9 лет назад
9 лет назад