• Предмет: Алгебра
  • Автор: RinahentaiTyan
  • Вопрос задан 8 лет назад

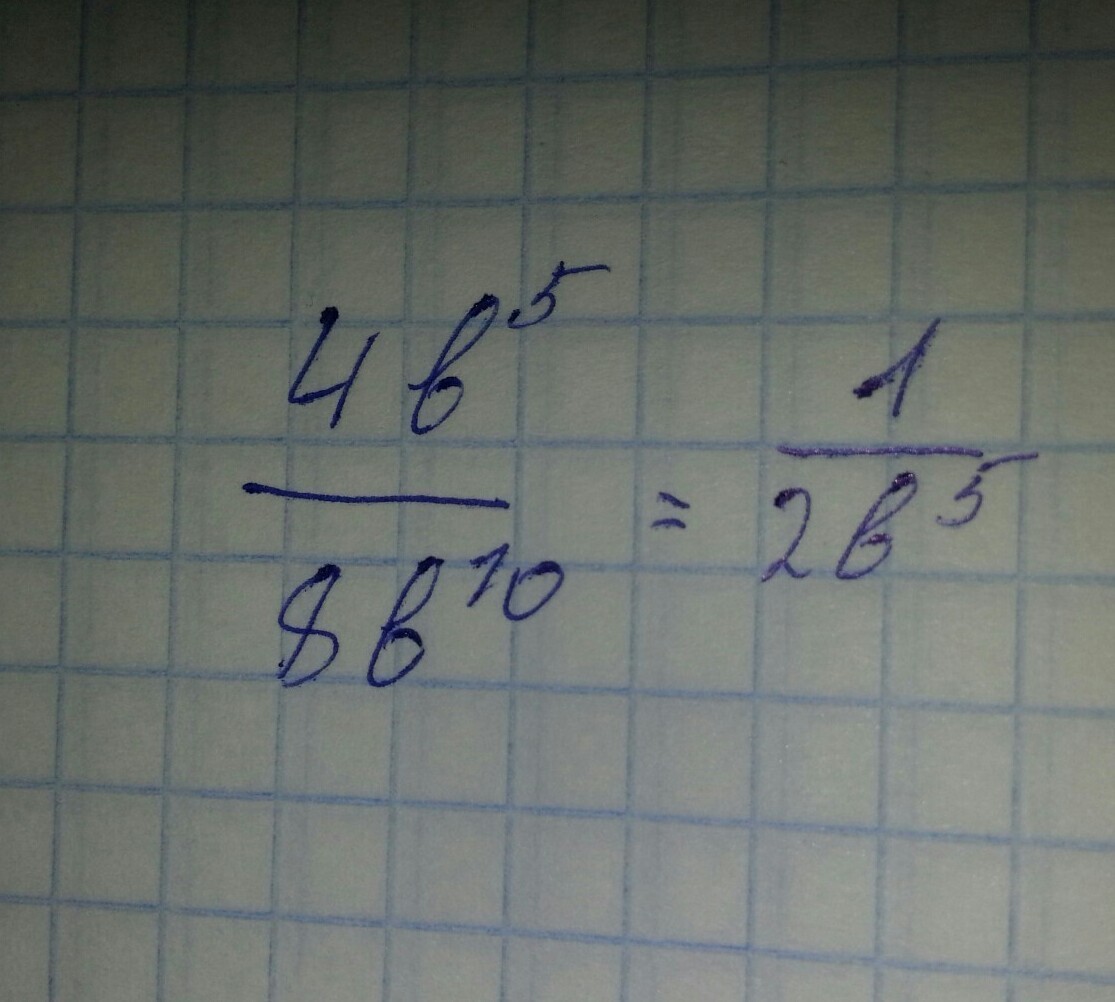
Помогите решить!! Сократите дробь

Приложения:

Ответы

Ответ дал: TMin
0
Получилось как-то так. Надеюсь, помогла )
Приложения:
Ответ дал: RinahentaiTyan
0
спасибо большое!!!
Вас заинтересует