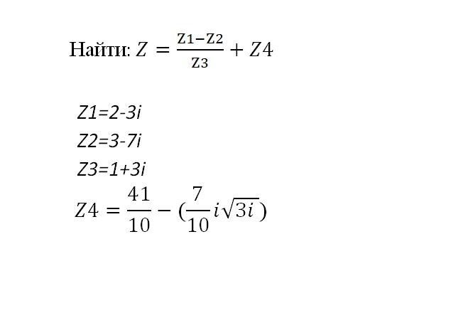
20 баллов !!!!!!!!!!Помогите решить
ответ желательно на тетрадке сделать и прислать фото
Приложения:

Ответы
Ответ дал:
0
вот решение. . . . . . . ..
Приложения:

Ответ дал:
0
Вы не открыли √i
Ответ дал:
0
я извиняюсь
Ответ дал:
0
а́ он разве раскрывается?
Ответ дал:
0
z =r(cosφ+isinφ) || z₁ = zⁿ ||
Вас заинтересует
2 года назад
3 года назад
3 года назад
9 лет назад
9 лет назад
9 лет назад