• Предмет: Математика
  • Автор: Originall
  • Вопрос задан 8 лет назад

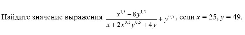
Блин как нормально сократить? Пожалуйста, помогите

Приложения:

Ответы

Ответ дал: DNHelper
0

frac{(x^{frac{1}{2}})^3-(2y^{frac{1}{2}})^3}{x+2x^frac{1}{2}y^{frac{1}{2}}+4y}+y^{frac{1}{2}}=frac{(x^{frac{1}{2}}-2y^{frac{1}{2}})(x+2x^frac{1}{2}y^{frac{1}{2}}+4y)}{x+2x^frac{1}{2}y^{frac{1}{2}}+4y}+y^{frac{1}{2}}=\=x^{frac{1}{2}}-2y^{frac{1}{2}}+y^{frac{1}{2}}=sqrt{x}-sqrt{y}=sqrt{25}-sqrt{49}=5-7=-2

Вас заинтересует