Ответы
Ответ дал:
0
Здравствуйте!
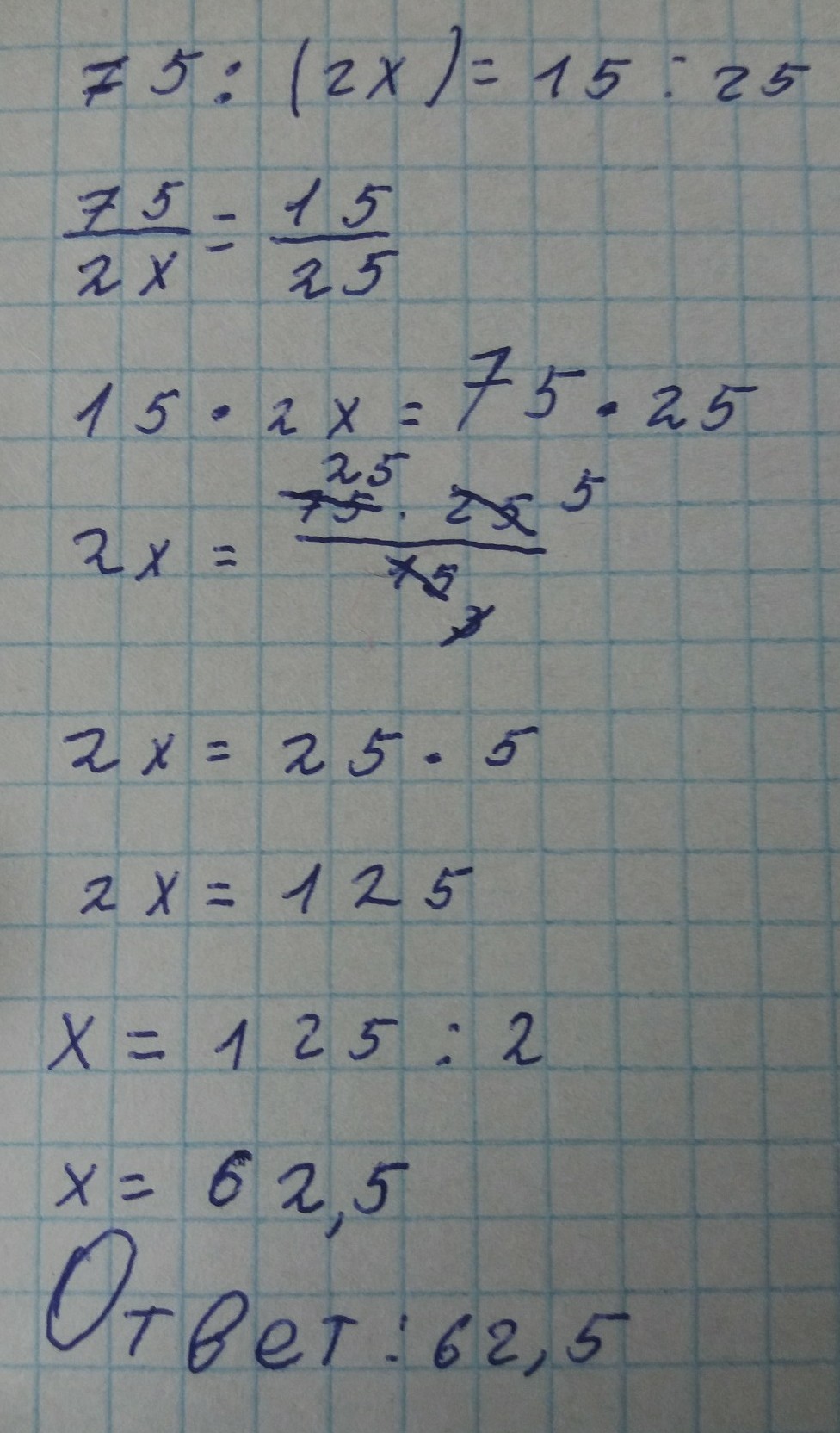
Решение на фото!
ОТВЕТ: 62,5.
Решение на фото!
ОТВЕТ: 62,5.
Приложения:

Ответ дал:
0
Воооооооооооооооот! )))))
Приложения:

Вас заинтересует
2 года назад
3 года назад
3 года назад
9 лет назад
9 лет назад