Ответы
Ответ дал:
0
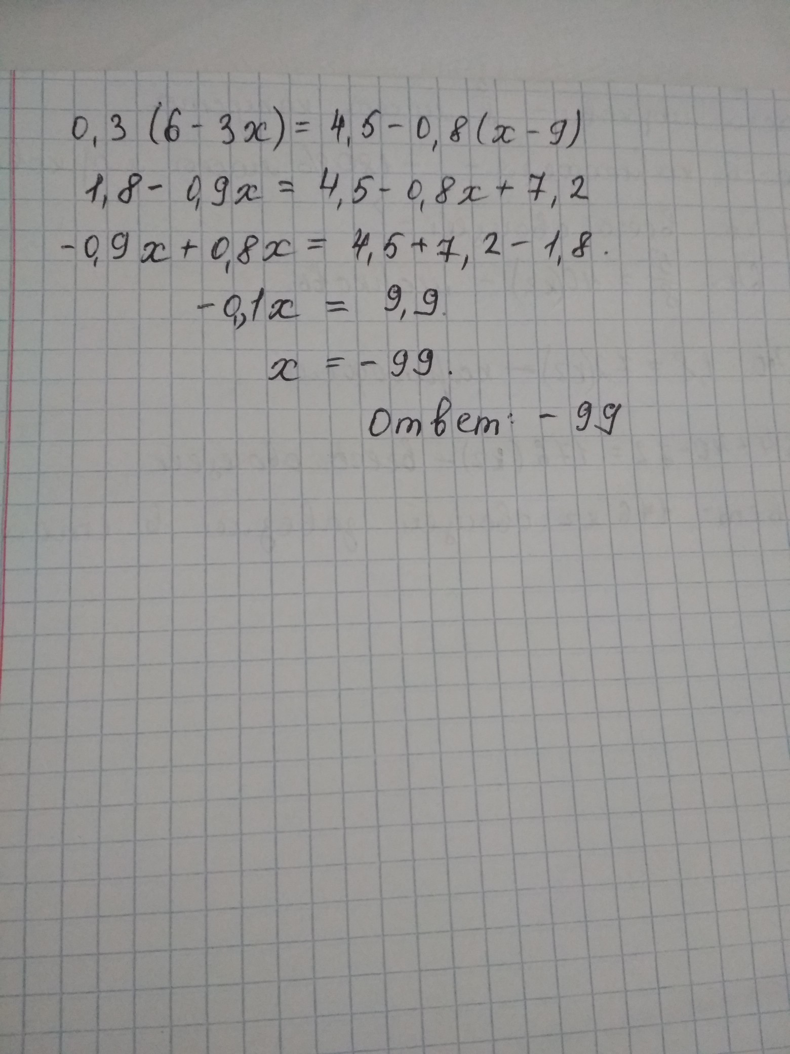
- 0,3*(6-3x)=4,5-0,8*(x-9)
- 1,8-0,9x=4,5-0,8x+7,2
- -0,9x+0,8x=11,7-1,8
- -0,1x=9,9
- x=-99
Ответ дал:
0
Рада помочь))))))))
Приложения:

Вас заинтересует
2 года назад
3 года назад
9 лет назад
9 лет назад
9 лет назад