Ответы
Ответ дал:
0
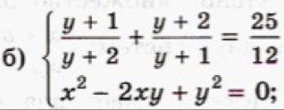
(y+1)/(y+2) + (y+2)/(y+1)=25/12
x2-2xy+y2=0
второе уравнение (x-y)^2=0 x=y
(y+1)/(y+2) = t
t+1/t = 25/12
12t^2-25t+12=0
t(1,2)= (25+- корень(625-576))/24=(25+-7)/24=
t1=32/24=4/3
t2=18/24=3/4
(y+1)/(y+2) = 4/3
3(y+1)=4(y+2)
3y+3=4y+8
y=-5
(y+1)/(y+2) = 3/4
4(y+1)=3(y+2)
4y+4=3y+6
y=2
x=2 y=2
x=-5 y=-5
x2-2xy+y2=0
второе уравнение (x-y)^2=0 x=y
(y+1)/(y+2) = t
t+1/t = 25/12
12t^2-25t+12=0
t(1,2)= (25+- корень(625-576))/24=(25+-7)/24=
t1=32/24=4/3
t2=18/24=3/4
(y+1)/(y+2) = 4/3
3(y+1)=4(y+2)
3y+3=4y+8
y=-5
(y+1)/(y+2) = 3/4
4(y+1)=3(y+2)
4y+4=3y+6
y=2
x=2 y=2
x=-5 y=-5
Вас заинтересует
3 года назад
3 года назад
8 лет назад
8 лет назад
11 лет назад
11 лет назад
11 лет назад