Вычислить лимит предела последовательности:
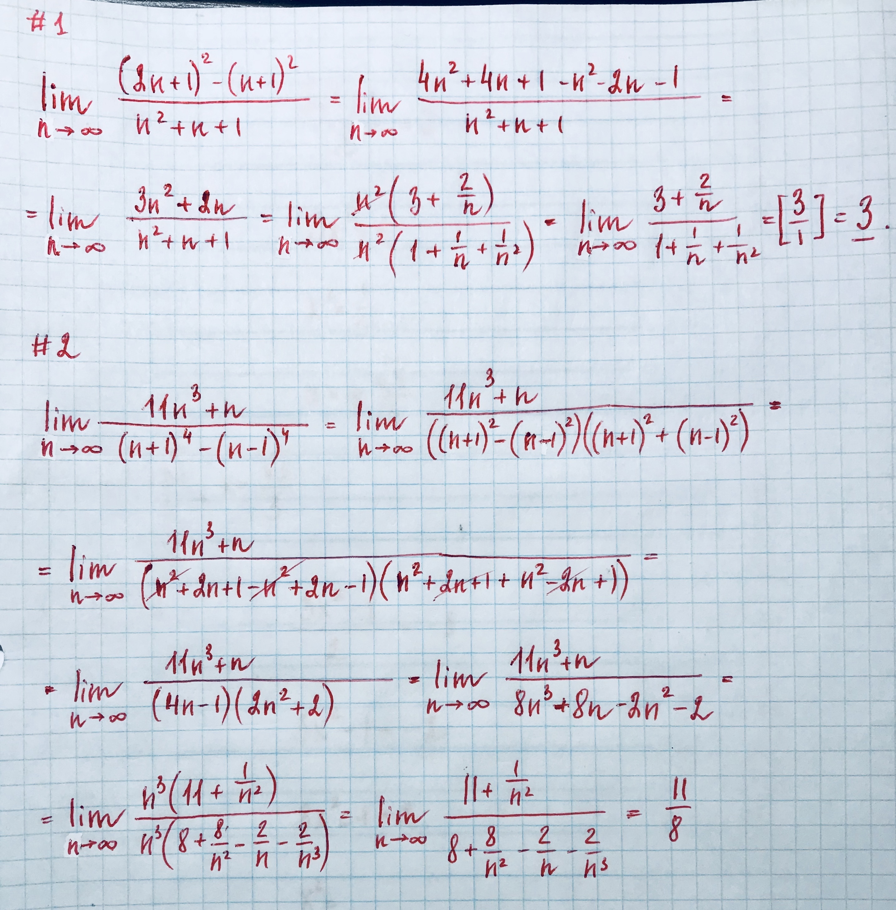
1) lim ((2n+1)^2-(n+1)^2)/(n^2+n+1)
2)lim (11n^3+n)/((n+1)^4-(n-1)^4)
Ответы
Ответ дал:
0
Ловите решение. Удачи вам!
Приложения:

Вас заинтересует
2 года назад
3 года назад
3 года назад
9 лет назад
9 лет назад
9 лет назад