• Предмет: Алгебра
  • Автор: dradadum
  • Вопрос задан 8 лет назад

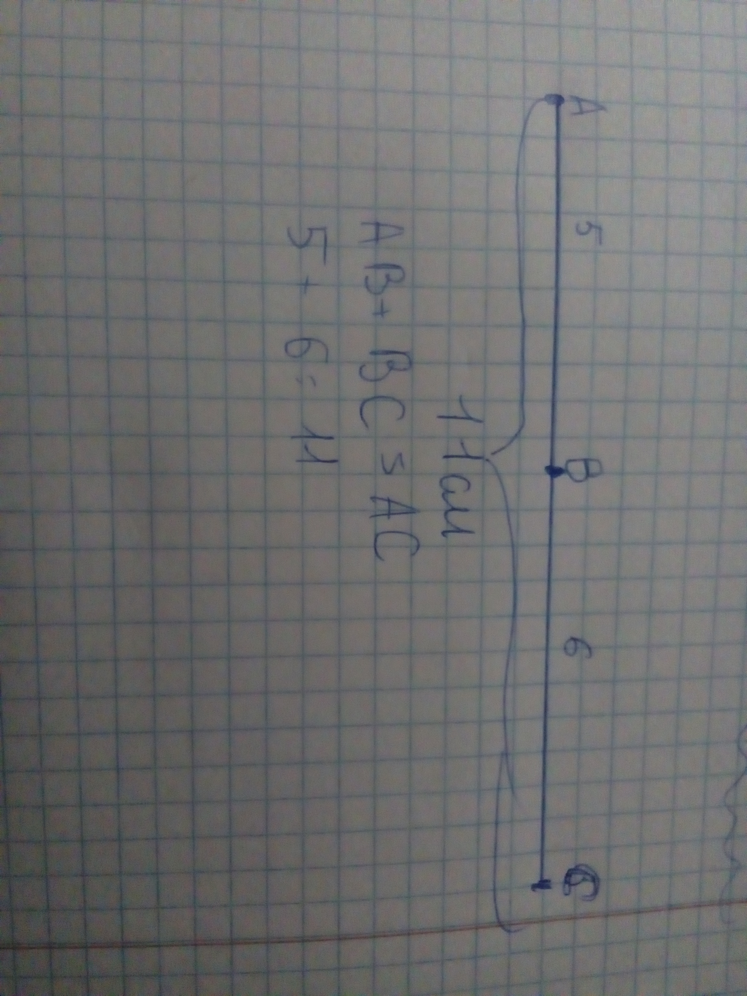
нарисуйте прямую. С помощью линейки отложите на ней в одном направлении отрезок AB, длиной 5 см, и отрезок BC, длиной 6 см.Какую длину имеет отрезок AC

Ответы

Ответ дал: kulek80
0
ас равен 11 сантиметров
Ответ дал: kristinamiheevaw
0

Здесь и считать не нужно,и чертить. Будет 11.

Приложения:
Ответ дал: dradadum
0
извини, я знаю что я бездушная тварь но он был быстрее)
Вас заинтересует