Ответы
Ответ дал:
0
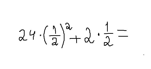
Ответ данного выражения: 7.
Приложения:

Ответ дал:
0
Спасибо огромное
Ответ дал:
0
Да не за что, дальнейших успехов в учёбе
Вас заинтересует
2 года назад
2 года назад
3 года назад
3 года назад
9 лет назад
9 лет назад
9 лет назад