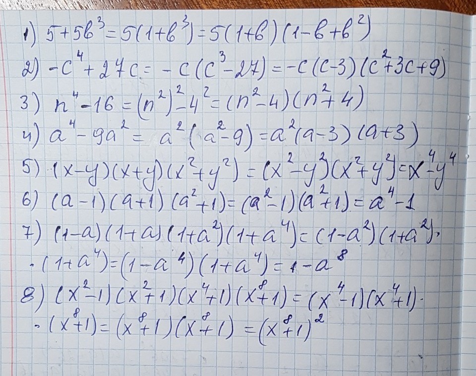
Разложите на множители:
5+5b³
-c^4+27c
Упростите:
n^4-16
a^4-9a²
(x-y)(x+y)(x²+y²)
(a-1)(a+1)(a²+1)
(1-a)(1+a)(1+a²)(1+a^4)
(x²-1)(x²+1)(x^4+1)(x^8+1)
Ответы
Ответ дал:
0
решение задания смотри на фотографии
Приложения:

Вас заинтересует
2 года назад
2 года назад
3 года назад
3 года назад
9 лет назад
9 лет назад
9 лет назад