• Предмет: Математика
  • Автор: vana1216
  • Вопрос задан 8 лет назад

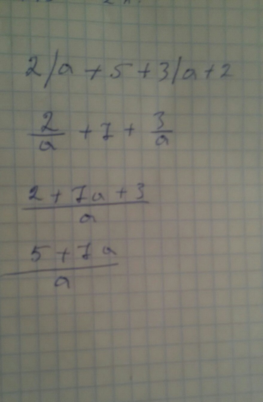
Решите, пожалуйста, 2/a+5+3/a+2

Ответы

Ответ дал: sanem41
0
вот пожалуйста пиши на здоровье
Приложения:
Вас заинтересует