• Предмет: Алгебра
  • Автор: esyaegorova
  • Вопрос задан 8 лет назад

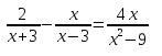
помогите решить данное уравнение:

Приложения:

Ответы

Ответ дал: ekaterinakoroleva12
0

третий знаменатель разложим на (x - 3)(x + 3)

теперь сократим все части уравнения на (x - 3)(x + 3)

получается 2(x - 3) - x (x + 3) = 4x . дальше решаем как обычно

2x - 6 - x^2 - 3x = 4x

-x^2 + 2x - 3x - 4x - 6 = 0

-x^2 - 5x - 6 = 0

решаем через дискриминант

Приложения:
Ответ дал: esyaegorova
0
спасибо огромное)
Вас заинтересует