Помогите пожалуйста номер 116 первый и второй пример не надо пожалуйста срочно надо за ранее спасибо
Приложения:

Ответы
Ответ дал:
0
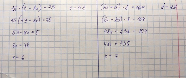
Вот так) слева - третий пример, справа - четвёртый♥️♥️
Приложения:

Ответ дал:
0
Спасибо❤️
Ответ дал:
0
♥️♥️♥️
Вас заинтересует
2 года назад
2 года назад
3 года назад
9 лет назад
9 лет назад
9 лет назад
9 лет назад