• Предмет: Алгебра
  • Автор: Artemqwerty28
  • Вопрос задан 8 лет назад

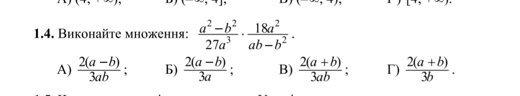
Помогите пожалйста с подробным решением

Приложения:

Ответы

Ответ дал: NNNLLL54
0

frac{a^2-b^2}{27a^3}cdot frac{18a^2}{ab-b^2}=frac{(a-b)(a+b)}{3cdot 9cdot a^3}cdot frac{2cdot 9cdot a^2}{b(a-b)}=frac{(a+b)cdot 2}{3acdot b}=frac{2, (a+b)}{3ab}

Вас заинтересует