Ответы
Ответ дал:
0
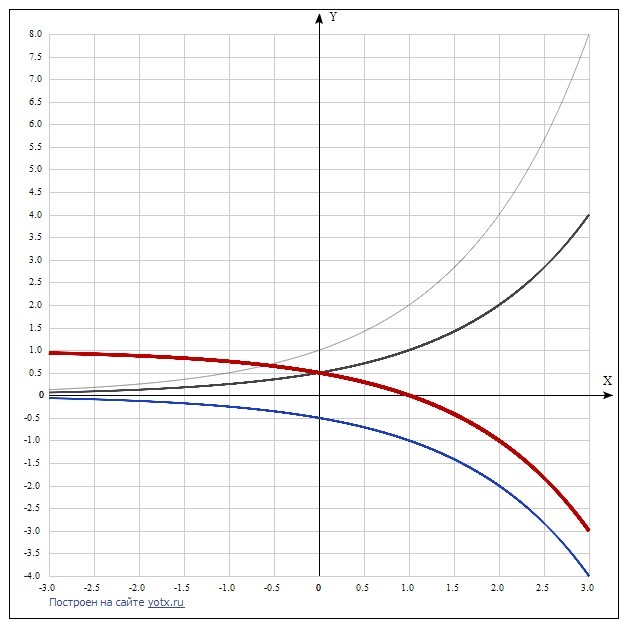
1) 2^x
2)2^(x-1) - смещение вправо на 1.
3)-2^(x-1) - симметрия относительно ОХ.
4) -2^(x-1) +1_ смещение на 1 вверх.
Приложения:

Вас заинтересует
2 года назад
3 года назад
3 года назад
9 лет назад
9 лет назад
9 лет назад