Ответы
Ответ дал:
0
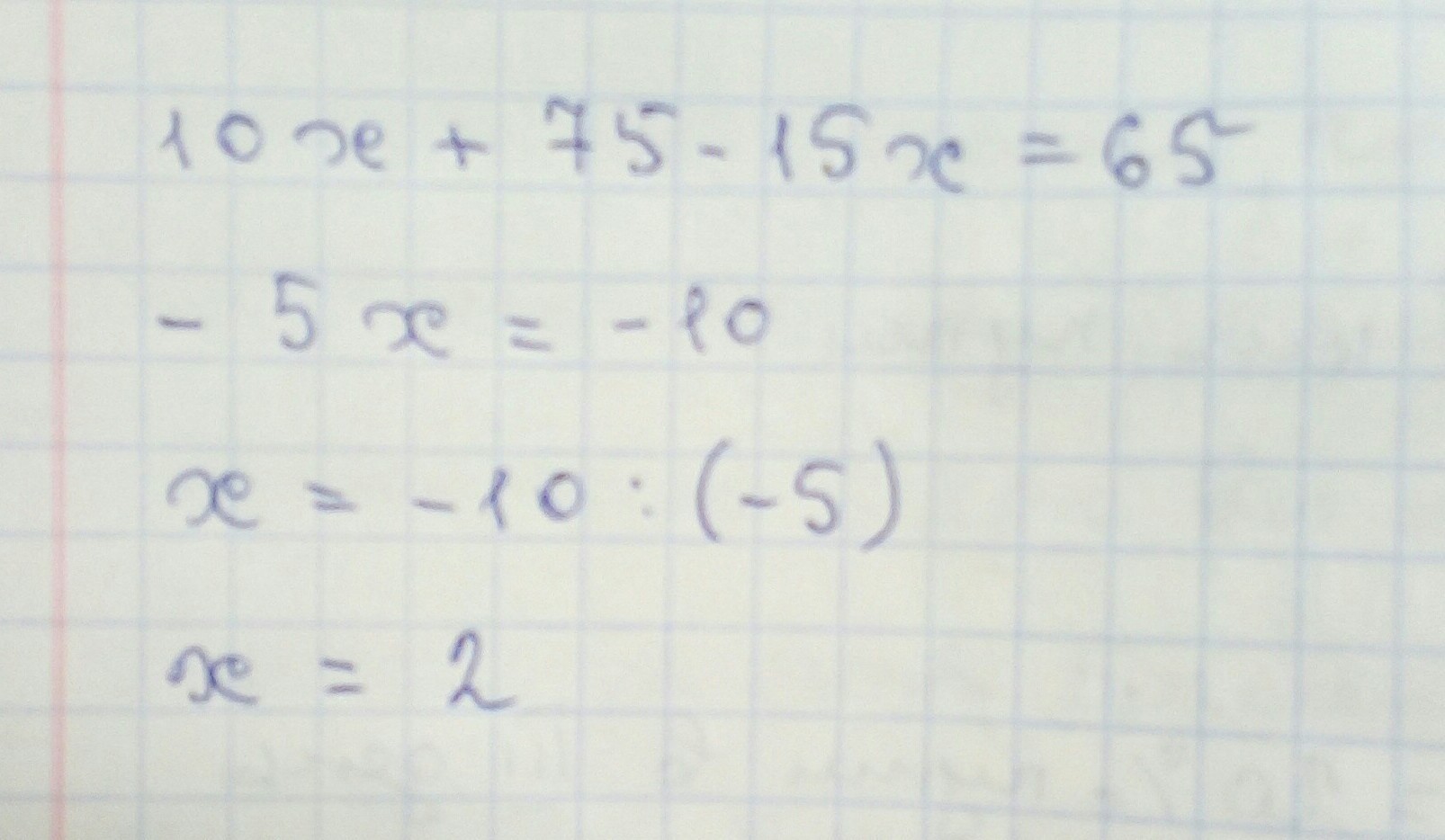
10х+15(5-х)=65
10х+75-15х=65
5х=75-65
5х=10
х=10:5
х=2
Ответ дал:
0
10 делится не на 2 а на 5
Ответ дал:
0
и x=2
Ответ дал:
0
точно
Ответ дал:
0
фоточка тебе в помощь
Приложения:

Вас заинтересует
2 года назад
2 года назад
3 года назад
3 года назад
9 лет назад
9 лет назад
9 лет назад