• Предмет: Алгебра
  • Автор: nikitakajurins1
  • Вопрос задан 8 лет назад

Алгебра ПОМОГИТЕ
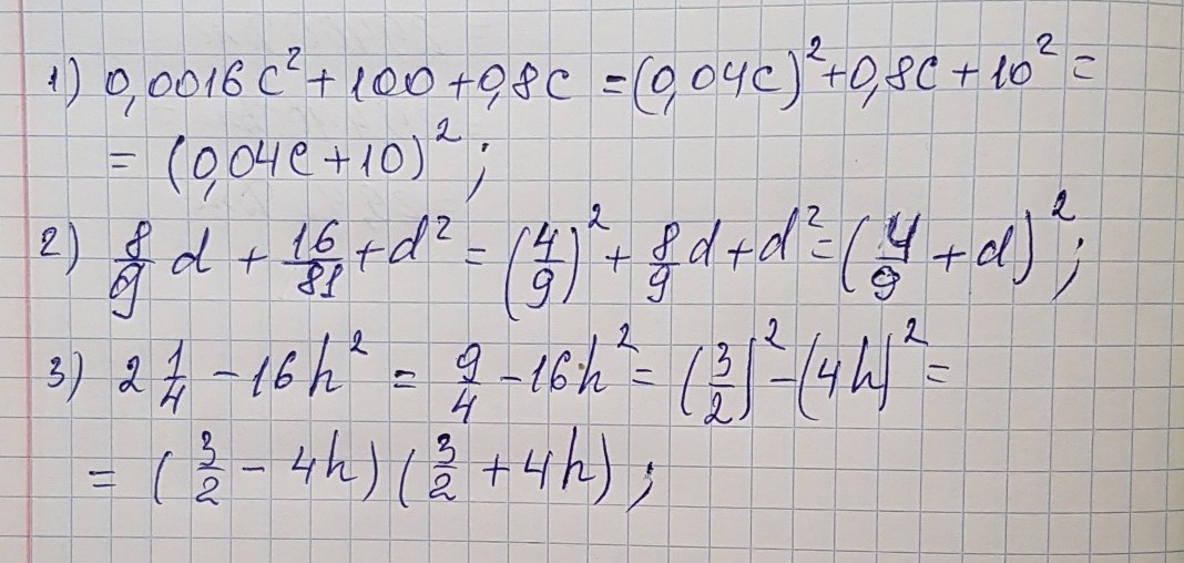
0,0016c^{2}+100+0,8c
frac{8}{9}d+frac{16}{81}+d^{2}
0,0001g^{2} -36
2frac{1}{4}-16h^{2}

Ответы

Ответ дал: 1233090
0
решение задания смотри на фотографии
Приложения:
Ответ дал: 1233090
0
спасибо за оценку
Вас заинтересует