• Предмет: Алгебра
  • Автор: missbea
  • Вопрос задан 8 лет назад

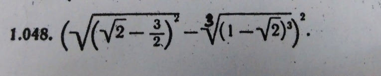
Вычислите наиболее рациональным способом

Приложения:

Ответы

Ответ дал: Universalka
0

(sqrt{(sqrt{2}-frac{3}{2})^{2}} -sqrt[3]{(1-sqrt{2})^{3}} )^{2}=(frac{3}{2}-sqrt{2}-1+sqrt{2})^{2}=(frac{3}{2}-1)^{2}=(frac{1}{2})^{2}=frac{1}{4}=0,25

Вас заинтересует