Ответы
Ответ дал:
0
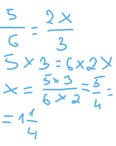
5×3
6×2 тут надо сократить на 2
Приложения:

Вас заинтересует
2 года назад
3 года назад