• Предмет: Математика
  • Автор: diana78892
  • Вопрос задан 8 лет назад

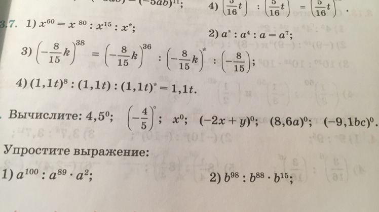
Вычислите 4,5 ; (-4/5); x ; (-2x+ y) ; (8,6а) ; (-9,1bc)

Приложения:

Ответы

Ответ дал: olgamartynova82
0

4,5 в 0 степени=1;

-4/5 в 0 степени=1;

Х в 0 степени = при значении Х неравном 0 будет 1 при х=0 значение не определено;

-2Х+У в сепени 0 всегда =1 кроме х=У/2

8,6*а в 0 степени=1  кроме а=0

-9,1*б*с в 0 степени =1 кроме б или с=0

Вас заинтересует