• Предмет: Алгебра
  • Автор: nek444
  • Вопрос задан 8 лет назад

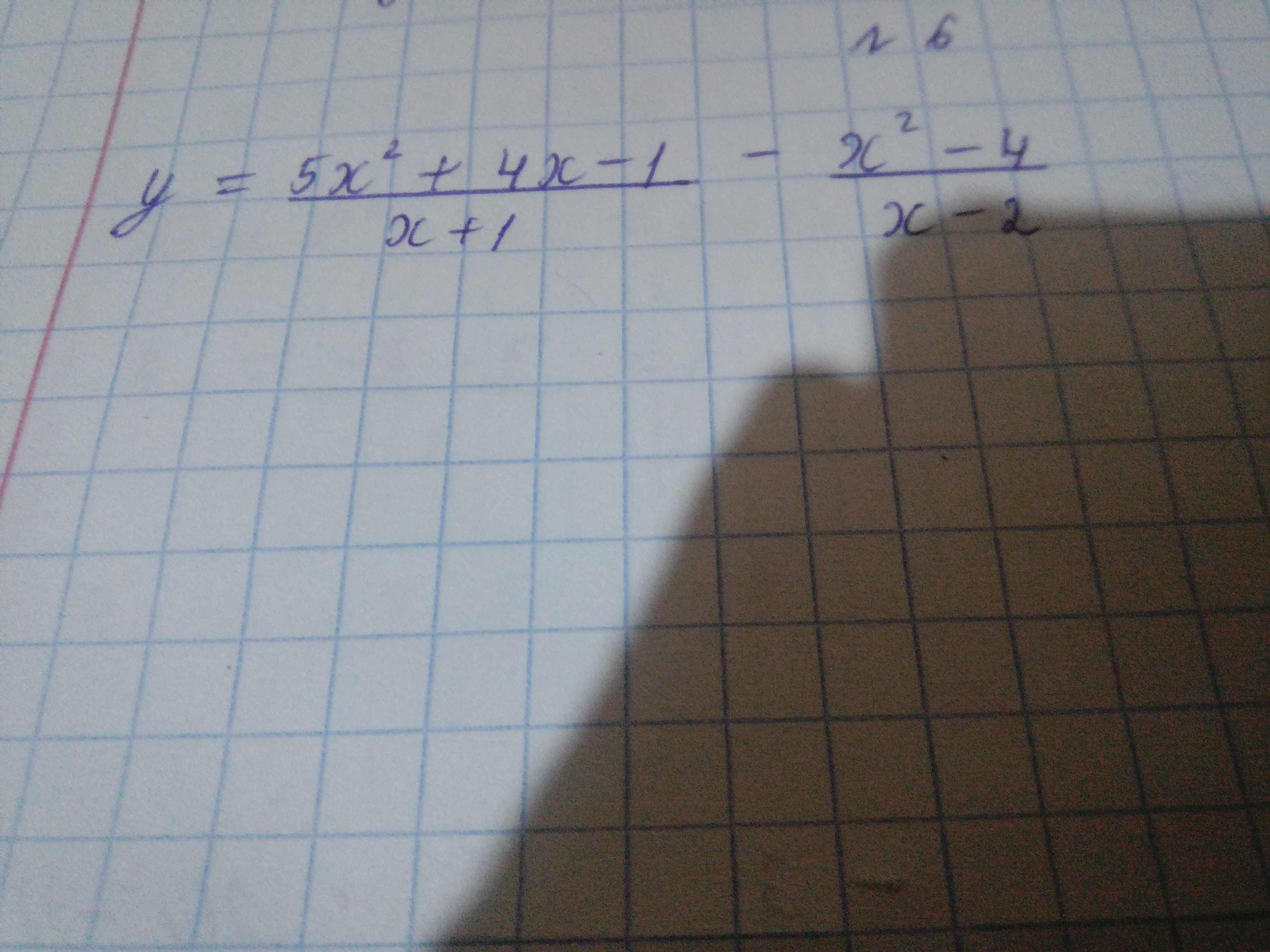
Помогите пожалуйста.

Приложения:

Ответы

Ответ дал: ALJN1337
0

5x² + 5x - x - 1      (x - 2) x (x + 2)    

---------------------  -  ---------------------

     x + 1                        x - 2

5x x (x + 1) - (x + 1)

------------------------ - (x + 2)

       x + 1

(x + 1) x (5x - 1)

-------------------- - x - 2

        x + 1

5x - 1 - x - 2

4x - 3

Вас заинтересует