Ответы
Ответ дал:
0
1)Умножаем 1 строку на 1/3
2)Прибавляем ко 2 строке 1 строку умноженную на (-2). Прибавляем к 3 строке 1 строку умноженную на (-5).
3)Умножаем 2 строку на (-3/11)
4)Прибавляем к 3 строке 2 строку умноженную на (8/3).
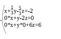
Теперь подставляем полученные значения в систему
Из полученной системы находим данные
6Z=6 (Делим обе части на 6)
Z=1
y-2Z=0
y=2Z
y=2*1
y=2
x+(1/3)*y - (5/3)*Z = - 2
x= -2 -(1/3)*2 + (5/3)*1
x= -2 - (2/3) + (5/3)
x= (-6 - 2+ 5)/3
x= (-3)/3
x=-1
Ответ: x=-1 y=2 Z=1
Приложения:


Вас заинтересует
2 года назад
2 года назад
3 года назад
3 года назад
9 лет назад
9 лет назад