Ответы
Ответ дал:
0
Вот решение , извиняюсь за неаккуратность
Приложения:

Ответ дал:
0
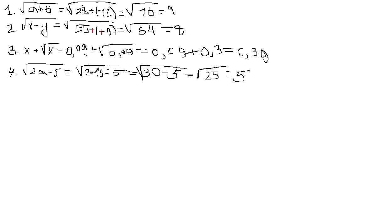
1)4
2)8
3)0,39
4)5
........
2)8
3)0,39
4)5
........
Приложения:

Ответ дал:
0
у меня просто мозг есть
Ответ дал:
0
ну понятно
Ответ дал:
0
Я в 10 классе, мы такое устно решаем
Ответ дал:
0
Согласна, уже в 10 классе это все легко и быстро решается
Ответ дал:
0
Я в 8 нам нужно решать поэтапно
Вас заинтересует
2 года назад
2 года назад
3 года назад
3 года назад
9 лет назад
9 лет назад
9 лет назад
9 лет назад