• Предмет: Алгебра
  • Автор: gllicna
  • Вопрос задан 8 лет назад

Очень срочно, пожалуйста

Приложения:

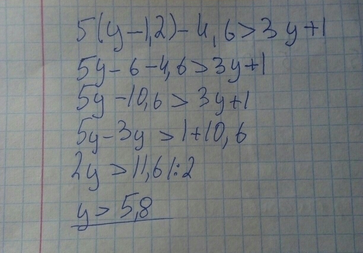
Ответы

Ответ дал: nata46491
0
Пользуйся Не благодари.
Приложения:
Вас заинтересует