• Предмет: Физика
  • Автор: EricLord
  • Вопрос задан 8 лет назад

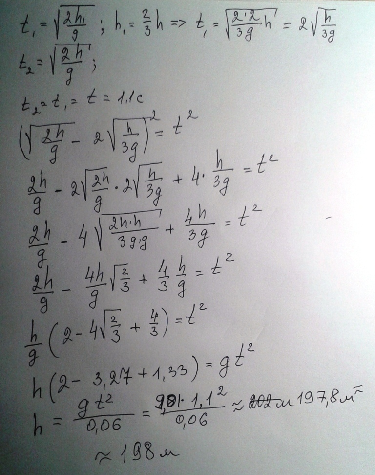
Свободно падающее тело проходит последнюю треть своего пути за 1,1 с. Найти высоту и время падения тела.

Ответы

Ответ дал: cvvkl
0

Решение смотри в файле

Приложения:
Ответ дал: cvvkl
0
в третьей строке t2 - t1 = t = 1,1 с
Ответ дал: EricLord
0
спасибо
Ответ дал: Аноним
0
help https://znanija.com/task/29593135
Ответ дал: JohnnyDit
0
почему последнюю строчку не разобрал
Вас заинтересует