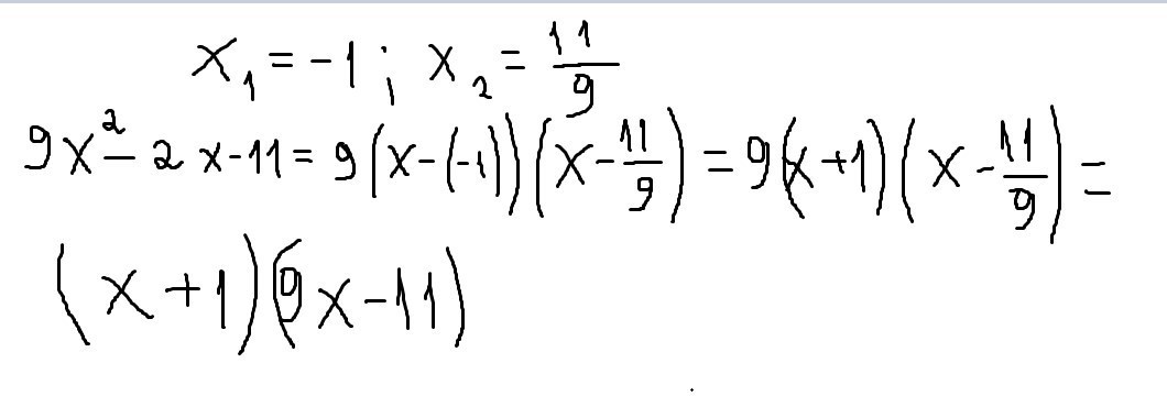
какое сделали действие чтобы получилась последняя скобка?Куда исчезла 9 перед первой скобкой и что случилось с до второй скобкой и почему с первой ничего не сделали.Помогите пожалуйста.
Приложения:

Ответы
Ответ дал:
0
Последнюю скобку умножили на эту самую девятку, вот она и исчезла.
Хорошего дня :)
Ответ дал:
0
Ну а первую то почему не умножили, что за бред.
Ответ дал:
0
не бред. почему должны умножать вторую? умножают только одну скобку.
Ответ дал:
0
ведь множитель один, его и вносят по распределительному закону умножения под одну из скобок
Ответ дал:
0
9•( х+1)•(х-11/9)=( х+1)•[9•(х-11/9)]=
=(х+1)(9•х-9•11/9)=(х+1)(9х-11)
переместительный закон умножения
a•b•c=b•a•c
ну и распределительный закон умножения
c(d-e)=cd-ce
=(х+1)(9•х-9•11/9)=(х+1)(9х-11)
переместительный закон умножения
a•b•c=b•a•c
ну и распределительный закон умножения
c(d-e)=cd-ce
Ответ дал:
0
А точно ведь
Ответ дал:
0
предпочтительнее наверное все-таки дробь убрать
Ответ дал:
0
а так оставить можно было
Ответ дал:
0
если бы дроби не было
Ответ дал:
0
Здравствуйте, если здесь будете, посмотрите мой вопрос, пожалуйстаю
Вас заинтересует
2 года назад
2 года назад
3 года назад
3 года назад
9 лет назад