• Предмет: Алгебра
  • Автор: artdfdfdf
  • Вопрос задан 8 лет назад

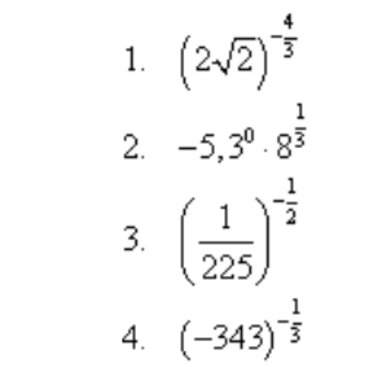
Решите пожалуйста нужно срочно

Приложения:

Ответы

Ответ дал: Mirage86
0

I hope this helps you

Приложения:
Вас заинтересует