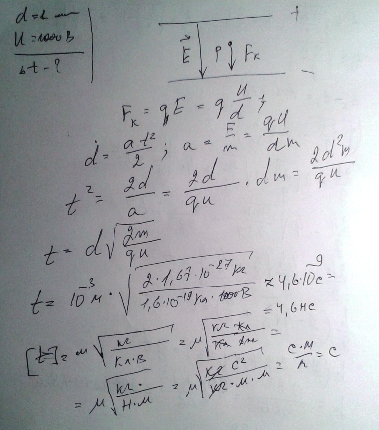
Протон перебуває між пластинами конденсатора, відстань між якими 1мм.Напруга на пластинах конденсатора 1000В. За який час частинка подолає відстань між пластинами рухаючись вздовж силової лінії у вакуумі
Ответы
Ответ дал:
0
Смотри файл
=============
Приложения:

Ответ дал:
0
а ответ 4,6НС или С?
Ответ дал:
0
нс - наносекунды
Ответ дал:
0
а там в решении g или q
Ответ дал:
0
можешь еще раз помочь?
Ответ дал:
0
https://znanija.com/task/29820421?
Вас заинтересует
2 года назад
2 года назад
3 года назад
3 года назад
9 лет назад
9 лет назад